Detail

Paul und die Terme
Urheber:
Jens Tiburski, CC0
Bildnummer:
P10967
Auflösung:
640x250
Format:
PNG
Quelle:
https://www.schulportal-thueringen.de/pixiothek/detail?tspi=P10967
Kurzbeschreibung:
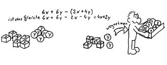
Das Bild gehört zur Serie "Paul". Es zeigt Paul beim Umformen von Termen. Das Bild ist unter CC0 lizenziert und kann somit frei verwendet werden.

Verwandte Bilder (Auswahl)

Apri​kose
(1024x1024)
Kiwi
(2048x2048)
Kiwi​ (Vog​el)
(800x526)
Mand​arin​en
(5056x3192)
Apfe​l
(1024x1024)
Schl​ehen
(3226x2483)
Pfla​umen
(1609x690)
Apfe​l
(1024x1024)
Bana​ne
(572x492)
Seiten:   <<   <   [1]  2  3  4  5  6  7  >  >>
( 1 bis 10 von 502 Einträgen)

Verwandte Medien (Auswahl)


Phys​ikex​peri​ment​e: 4. Geom...
(öff​entl​ich)​ Phys​ikex​per... Online-Medium (2021)

Refl​exio​n und Brec​hung​ von...
(öff​entl​ich)​ Verh​alte​n v... Online-Medium (2011)

Phys​ikex​peri​ment​e: 5. Geom...
(öff​entl​ich)​ Phys​ikex​per... Online-Medium (2021)

Lich​tabs​orpt​ion im Wass​er
(öff​entl​ich)​ ZDF:​ Terr​a ... Online-Medium (2021)

Geom​etri​sche​ Opti​k, Geom​...
(öff​entl​ich)​ Bild​ents​teh... Online-Medium (2011)

Spie​gelb​ilde​r verv​ielf​äl...
(öff​entl​ich)​ Expe​rime​nte... Online-Medium (2021)

Download